Название: гиалуроновая кислота/гиалуронат натрия
Спецификация: 800 ~ 1300 кДа
Внешний вид: белый порошок
КАС. Номер. : 9067-32-7

| Имя | Гиалуронат натрия |
| Внешность | Белый порошок |
| Размер частиц | 80 меш |
| КАС. Нет. | 9067-32-7 |
| Растворимость | Легко растворим в воде и хорошая стабильность водного Решение |
| Молекулярная формула | (С14H20НЕТ11На) н |
| Молекулярная структура | ![]() |
| Пункт | Молекулярная масса | Функции |
| Олигомерные(Косметика класса) | 5 000 Da | Как ниже |
ОбычныеМолекулярная масса (Пищевой сорт/Косметика класса) | 800 ~ 1300 кДа | Мягкий и гладкий, без липкости И обладает высокой эластичностью, длительным увлажнением, устойчивостью к гиалуронидазе Деградации, может образовывать сеть Водная пленка на поверхности кожи, блокировка Воды, изолировать загрязнение, предотвратить Ультрафиолетовые лучи. |
НизкийМолекулярная масса (Косметика класса) | 100 ~ 800 кДа | Проникайте в кору головного мозга, увлажняйте и блокируйте воду для длительного увлажнения и улучшения усвоения питательных веществ кожи. |
ВысокийМолекулярная масса (Косметика класса) | ≥ 1800 кДа | Отличная смазка и пленка Формирование, увлажнение, солнце Защита, утолщение и стабилизация Эмульгирование. |
Олигомерный гиалуронат натрия
1.Более высокая скорость поглощения: Скорость трансдермального поглощения олигомера ГК может достигать почти 70% при использовании теста на кожной модели.
2.Ремонт поврежденных ячеек: Олигиалуроновая кислота может восстанавливать поврежденные клетки и улучшать клеточную активность, тем самым уменьшая повреждение клеток кожи внешней средой.
3.Сильные увлажняющие свойства: Сверхнизкомолекулярная ГК может сочетаться с клетками кожи на поверхности кожи, которые нелегко смыть, и образует сильную увлажняющую поддержку и защиту кожи.
4.Глубокое увлажнение: Он может впитываться через кожу, глубоко увлажняя и увеличивая содержание влаги в коже в 6-7 раз больше, чем обычное молекулярное увлажнение HA.

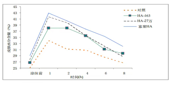
(Влияние гиалуроната натрия различной молекулярной массы на кожу)
Сектор здравоохранения продовольствия:
Увлажнение кожи и анти -- вызревание: Оно часто использован в комбинации с витамином К, пептидом коллагена, пептидом эластина, антоцианином виноградных косточек, етк., для увеличения моистуризинг и противоокислительн влияния.
Здоровье суставов, облегчение воспаления: хондроитин сульфат и ГК работают вместе, чтобы защитить суставы и облегчить остеоартрит. В сочетании с глюкозамином он способствует восстановлению хряща и уменьшает износ суставов. Куркумин, экстракт черного перца, является очень противовоспалительным.
Восстановление слизистой оболочки глаза: вместе с лютеином и зеаксантином для защиты сетчатки и снятия сухости глаз.

Заинтересованы в наших добавках? Получите вашу персонализированную цитату сейчас!
Позвоните нам на:
Напишите нам по электронной почте:
Офис Добавить: